Vad är plot() i R?
plot() i R är en mångsidig funktion som stöder olika typer av diagram, inklusive punktdiagram, linje- och stapeldiagram, histogram, boxplots och mycket mer.
Hur fungerar plot() i R?
Funktionen plot() i R används för att skapa diagram. Den placerar datapunkter på ett koordinatplan och kopplar ihop dem med varandra eller markerar dem på olika sätt. På så sätt kan du illustrera mönster och samband i data och bättre identifiera trender eller avvikelser.
plot() kan skapa punktdiagram, linje- och stapeldiagram, histogram och många andra typer av diagram. Tack vare sin mångsidighet används det för datavisualisering i en rad olika sammanhang, från dataanalys till presentation av resultat. Dess användarvänlighet och flexibilitet gör det till ett viktigt verktyg för alla som analyserar data, arbetar med statistik eller vill illustrera komplexa datamängder.
Vad är syntaxen för plot() i R?
Strukturen för funktionen plot() i R innehåller argument för data för x- och y-axeln samt valfria argument för att anpassa grafens utseende, inklusive färger, axeletiketter och diagramtyper.
Den grundläggande syntaxen ser ut som följer:
plot(x, y, ...)RI följande exempel plottar vi värdena från vektorerna x och y på ett punktdiagram. Funktionen plot() använder standardvärden för diagramtyp, färger och axeletiketter eftersom dessa argument har lämnats tomma.
x <- c(1, 2, 3, 4, 5)
y <- c(2, 4, 1, 7, 3)
plot(x, y)RDen resulterande grafen ser ut så här:

Hur man anpassar grafer med R plot()
Du kan anpassa graftypen och hur den ser ut med ytterligare argument i funktionen plot() i R.
Hur man skapar en sekvens av punkter
Du kan enkelt skapa en sekvens av punkter längs x- och y-axeln med hjälp av operatorn :.
plot(1:20)RGrafen kommer att se ut enligt följande:

Som vi kan se skapar plot(1:20) ett enkelt punktdiagram där både x-axeln och y-axeln automatiskt fylls med värdena 1 till 20.
Hur man ritar en linje
Om du vill ha ett linjediagram istället för ett punktdiagram anger du bara type=l som argument. Detta definierar diagramtypen som “Linje”.
plot(1:20, type="l")REn linje dras sedan mellan punkterna.

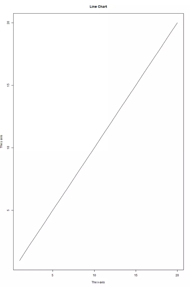
Hur man anger etiketter
Du kan lägga till etiketter i diagrammet med parametrarna main, xlab och ylab.
plot(1:20, type="l", main="Line Chart", xlab="The x-axis", ylab="The y axis")RResultatet ser ut som följer:

Hur man ändrar grafens utseende
Låt oss nu titta på ett mer komplext exempel, där vi ändrar färg, storlek och form på punkterna i diagrammet.
plot(1:20, type = "p", col = "green", pch = 8, cex = 1.5, main = "Scatterplot", xlab = "The x-axis", ylab = "The y-axis")RDen resulterande grafen ser ut som följer:

type = "p": Ställer in plottypen som ”punkter”col = "green": Ställer in färgen som grönpch = 8: Ställer in symbolen för punkternacex = 1.5: Ställer in storleken på punkterna till 1,5 gånger större än standard- `main = “Scatterplot”: Ställer in ”Scatterplot” som titel på grafen
xlab = "The x-axis"ochylab = "The y-axis": Lägger till etiketter till x- och y-axeln
Du kan ändra dessa parametrar så mycket du vill för att få en grafik som passar dina behov.

